山西大学首页
|
设为首页
|
加入收藏
|
中文版
|
English
首 页
学院概况
学院简介
历史沿革
部校共建
组织机构
师资队伍
特聘教授
教授
副教授
讲师
外聘教师
党政教辅
人才培养
本科生
研究生
学术科研
学术动态
学科建设
科研成果
科研获奖
合作交流
党群工作
党建工作
工会工作
学生发展
团学工作
闻新社区
九州官方
招生就业
招生信息
就业信息
校友园地
校友风采
校友讲坛
老照片
文件下载
当前位置:
首页
»
招生就业
» 招生信息
招生就业
招生信息
就业信息
招生信息
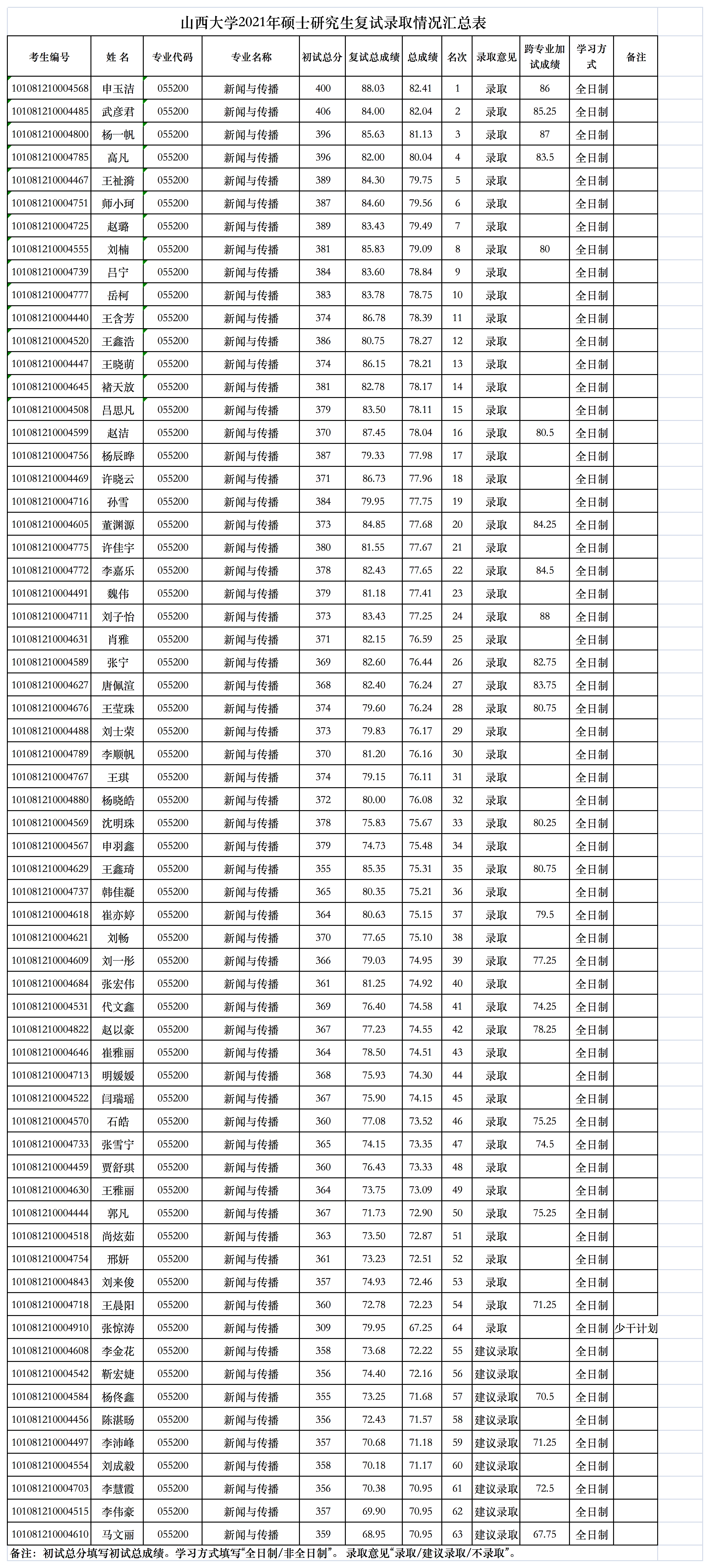
九州(中国)2021年硕士研究生复试录取情况公示
时间:2021-04-03 九州官方:
安博官方网站
|
韦德·官方端入口
|
天博网页版
|
完美体育登录入口
|
新2手机登录网官网
|
乐鱼官方端网站登录入口
|
乐鱼官方注册
|
沙巴足球网
|
星空体育在线网站
|
九州(中国) 联系电话:0351-7011855 地 址:山西省太原市坞城路92号(邮编 030006) (晋)ICP备05000471号
建议浏览使用:1024*768分辨率、16位以上颜色、Mozilla1.7、IE6.0版本浏览器
安博官方网站
|
韦德·官方端入口
|
天博网页版
|
完美体育登录入口
|
新2手机登录网官网
|
乐鱼官方端网站登录入口
|
乐鱼官方注册
|
沙巴足球网
|
星空体育在线网站
|